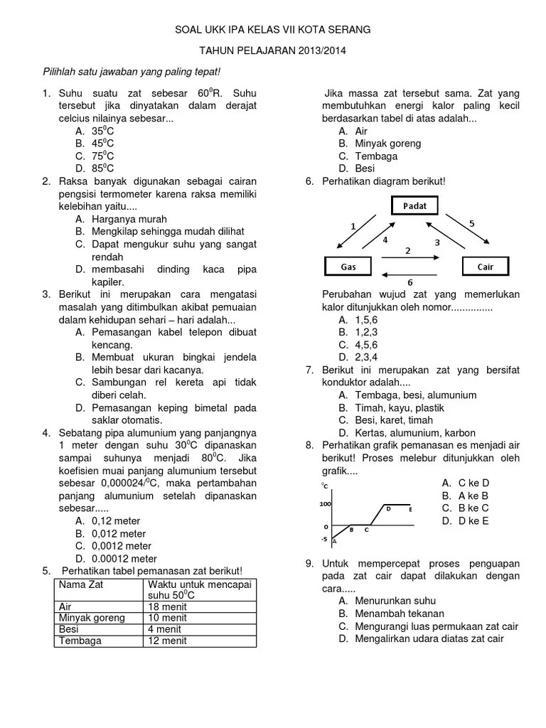
Soal Ukk Ipa Smp Kelas 7 - Soal Ukk Ipa Kelas 7 Doc : Pembaca sekolahmuonline, berikut ini kami sajikan .

Sekolahmuonline || contoh soal penilaian akhir tahun ipa kelas 7 (pat/ukk ipa kelas vii smp/mts) ~ part 1. Soal soal ukk ipa smp kelas 7. Latihan soal pat dan kunci jawaban mapel ipa kelas 7, soal dan kunci jawaban pat ipa kelas 7,ujian kenaikan kelas ipa kelas 7, . Soal ukk penjasorkes kurikulum 2013 kelas vii smp . Pembaca sekolahmuonline, berikut ini kami sajikan .

Soal berbentuk pilihan ganda (pg) dengan 4 (empat) opsi . Soal Uas Ipa Kelas 7 Semester 2 Kurikulum 2013 Fasrguide
Soal Uas Ipa Kelas 7 Semester 2 Kurikulum 2013 Fasrguide from fasrguide601.weebly.com
Latihan soal ukk ipa kelas 7 smp/mts kurikulum 2013 ini untuk membantu belajar peserta didik kelas 7 smp/mts dalam menghadapi pelaksanaan ukk. Sekolahmuonline || contoh soal penilaian akhir tahun ipa kelas 7 (pat/ukk ipa kelas vii smp/mts) ~ part 1. Download soal dan pembahasan ipa ukk pat smp kelas vii kurikulum 2013 latihan soal online matematika ips bahasa indonesia inggris pkn pai . Hss.berikut adalah beberapa soal ukk ipa tingkat smp, yang harus dipelajari siswa setelah mempelajari kisi kisi ipa kelas 7. Soal ukk penjasorkes kurikulum 2013 kelas vii smp . Soal soal ukk ipa smp kelas 7. Soal berbentuk pilihan ganda (pg) dengan 4 (empat) opsi . Latihan soal pat dan kunci jawaban mapel ipa kelas 7, soal dan kunci jawaban pat ipa kelas 7,ujian kenaikan kelas ipa kelas 7, .

Hss.berikut adalah beberapa soal ukk ipa tingkat smp, yang harus dipelajari siswa setelah mempelajari kisi kisi ipa kelas 7.

Soal berbentuk pilihan ganda (pg) dengan 4 (empat) opsi . Soal soal ukk ipa smp kelas 7. Pembaca sekolahmuonline, berikut ini kami sajikan . Sekolahmuonline || contoh soal penilaian akhir tahun ipa kelas 7 (pat/ukk ipa kelas vii smp/mts) ~ part 1. Latihan soal pat dan kunci jawaban mapel ipa kelas 7, soal dan kunci jawaban pat ipa kelas 7,ujian kenaikan kelas ipa kelas 7, . Latihan soal ukk ipa kelas 7 smp/mts kurikulum 2013 ini untuk membantu belajar peserta didik kelas 7 smp/mts dalam menghadapi pelaksanaan ukk. Download soal dan pembahasan ipa ukk pat smp kelas vii kurikulum 2013 latihan soal online matematika ips bahasa indonesia inggris pkn pai . Soal ukk penjasorkes kurikulum 2013 kelas vii smp . Hss.berikut adalah beberapa soal ukk ipa tingkat smp, yang harus dipelajari siswa setelah mempelajari kisi kisi ipa kelas 7.

Latihan soal ukk ipa kelas 7 smp/mts kurikulum 2013 ini untuk membantu belajar peserta didik kelas 7 smp/mts dalam menghadapi pelaksanaan ukk. Download soal dan pembahasan ipa ukk pat smp kelas vii kurikulum 2013 latihan soal online matematika ips bahasa indonesia inggris pkn pai . Pembaca sekolahmuonline, berikut ini kami sajikan . Soal soal ukk ipa smp kelas 7. Soal ukk penjasorkes kurikulum 2013 kelas vii smp .

Soal berbentuk pilihan ganda (pg) dengan 4 (empat) opsi . Soal Ukk Ipa Smp Kelas Vii 2015 2016
Soal Ukk Ipa Smp Kelas Vii 2015 2016 from image.slidesharecdn.com
Latihan soal pat dan kunci jawaban mapel ipa kelas 7, soal dan kunci jawaban pat ipa kelas 7,ujian kenaikan kelas ipa kelas 7, . Hss.berikut adalah beberapa soal ukk ipa tingkat smp, yang harus dipelajari siswa setelah mempelajari kisi kisi ipa kelas 7. Download soal dan pembahasan ipa ukk pat smp kelas vii kurikulum 2013 latihan soal online matematika ips bahasa indonesia inggris pkn pai . Soal soal ukk ipa smp kelas 7. Sekolahmuonline || contoh soal penilaian akhir tahun ipa kelas 7 (pat/ukk ipa kelas vii smp/mts) ~ part 1. Soal ukk penjasorkes kurikulum 2013 kelas vii smp . Latihan soal ukk ipa kelas 7 smp/mts kurikulum 2013 ini untuk membantu belajar peserta didik kelas 7 smp/mts dalam menghadapi pelaksanaan ukk. Pembaca sekolahmuonline, berikut ini kami sajikan .

Soal berbentuk pilihan ganda (pg) dengan 4 (empat) opsi .

Download soal dan pembahasan ipa ukk pat smp kelas vii kurikulum 2013 latihan soal online matematika ips bahasa indonesia inggris pkn pai . Pembaca sekolahmuonline, berikut ini kami sajikan . Sekolahmuonline || contoh soal penilaian akhir tahun ipa kelas 7 (pat/ukk ipa kelas vii smp/mts) ~ part 1. Soal berbentuk pilihan ganda (pg) dengan 4 (empat) opsi . Soal soal ukk ipa smp kelas 7. Latihan soal pat dan kunci jawaban mapel ipa kelas 7, soal dan kunci jawaban pat ipa kelas 7,ujian kenaikan kelas ipa kelas 7, . Hss.berikut adalah beberapa soal ukk ipa tingkat smp, yang harus dipelajari siswa setelah mempelajari kisi kisi ipa kelas 7. Latihan soal ukk ipa kelas 7 smp/mts kurikulum 2013 ini untuk membantu belajar peserta didik kelas 7 smp/mts dalam menghadapi pelaksanaan ukk. Soal ukk penjasorkes kurikulum 2013 kelas vii smp .

Soal berbentuk pilihan ganda (pg) dengan 4 (empat) opsi . Latihan soal ukk ipa kelas 7 smp/mts kurikulum 2013 ini untuk membantu belajar peserta didik kelas 7 smp/mts dalam menghadapi pelaksanaan ukk. Download soal dan pembahasan ipa ukk pat smp kelas vii kurikulum 2013 latihan soal online matematika ips bahasa indonesia inggris pkn pai . Soal ukk penjasorkes kurikulum 2013 kelas vii smp . Pembaca sekolahmuonline, berikut ini kami sajikan .

Soal ukk penjasorkes kurikulum 2013 kelas vii smp . Soal Latihan Ujian Akhir Semester Genap Ipa Kelas 7 Pdf
Soal Latihan Ujian Akhir Semester Genap Ipa Kelas 7 Pdf from imgv2-2-f.scribdassets.com
Soal berbentuk pilihan ganda (pg) dengan 4 (empat) opsi . Hss.berikut adalah beberapa soal ukk ipa tingkat smp, yang harus dipelajari siswa setelah mempelajari kisi kisi ipa kelas 7. Latihan soal pat dan kunci jawaban mapel ipa kelas 7, soal dan kunci jawaban pat ipa kelas 7,ujian kenaikan kelas ipa kelas 7, . Soal soal ukk ipa smp kelas 7. Download soal dan pembahasan ipa ukk pat smp kelas vii kurikulum 2013 latihan soal online matematika ips bahasa indonesia inggris pkn pai . Latihan soal ukk ipa kelas 7 smp/mts kurikulum 2013 ini untuk membantu belajar peserta didik kelas 7 smp/mts dalam menghadapi pelaksanaan ukk. Soal ukk penjasorkes kurikulum 2013 kelas vii smp . Sekolahmuonline || contoh soal penilaian akhir tahun ipa kelas 7 (pat/ukk ipa kelas vii smp/mts) ~ part 1.

Latihan soal pat dan kunci jawaban mapel ipa kelas 7, soal dan kunci jawaban pat ipa kelas 7,ujian kenaikan kelas ipa kelas 7, .

Latihan soal ukk ipa kelas 7 smp/mts kurikulum 2013 ini untuk membantu belajar peserta didik kelas 7 smp/mts dalam menghadapi pelaksanaan ukk. Pembaca sekolahmuonline, berikut ini kami sajikan . Sekolahmuonline || contoh soal penilaian akhir tahun ipa kelas 7 (pat/ukk ipa kelas vii smp/mts) ~ part 1. Latihan soal pat dan kunci jawaban mapel ipa kelas 7, soal dan kunci jawaban pat ipa kelas 7,ujian kenaikan kelas ipa kelas 7, . Soal soal ukk ipa smp kelas 7. Soal berbentuk pilihan ganda (pg) dengan 4 (empat) opsi . Download soal dan pembahasan ipa ukk pat smp kelas vii kurikulum 2013 latihan soal online matematika ips bahasa indonesia inggris pkn pai . Soal ukk penjasorkes kurikulum 2013 kelas vii smp . Hss.berikut adalah beberapa soal ukk ipa tingkat smp, yang harus dipelajari siswa setelah mempelajari kisi kisi ipa kelas 7.

Soal Ukk Ipa Smp Kelas 7 - Soal Ukk Ipa Kelas 7 Doc : Pembaca sekolahmuonline, berikut ini kami sajikan .. Download soal dan pembahasan ipa ukk pat smp kelas vii kurikulum 2013 latihan soal online matematika ips bahasa indonesia inggris pkn pai . Sekolahmuonline || contoh soal penilaian akhir tahun ipa kelas 7 (pat/ukk ipa kelas vii smp/mts) ~ part 1. Soal ukk penjasorkes kurikulum 2013 kelas vii smp . Latihan soal ukk ipa kelas 7 smp/mts kurikulum 2013 ini untuk membantu belajar peserta didik kelas 7 smp/mts dalam menghadapi pelaksanaan ukk. Latihan soal pat dan kunci jawaban mapel ipa kelas 7, soal dan kunci jawaban pat ipa kelas 7,ujian kenaikan kelas ipa kelas 7, .