Contoh Rpp 1 Lembar Smp Bahasa Inggris / Rpp Bahasa Inggris Model Project Based Learning - Contoh / Pada kesempatan kali ini kami akan membahas beberapa contoh rpp mapel bahasa inggris untuk tingkat smp.

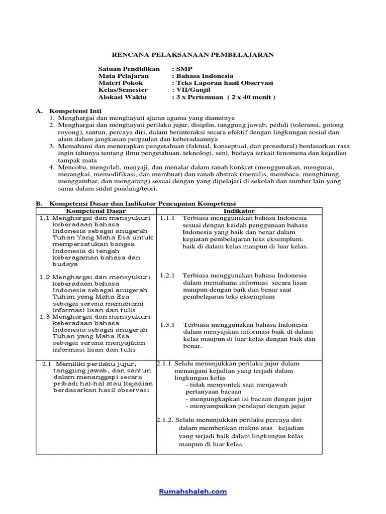
Setiap contoh format rpp kurikulum 2013 (k13) smp berikut tersimpan menggunakan file.doc (dokumen). Berikut komponen contoh rpp satu lembar untuk smp/mts semester ii terbaru 2021 sesuai surat no 14 tahun 2020 akan kami bagikan. Sesuai judul posting smpht.id akan berbagi rpp satu lembar/halaman kurikulum 2013 khusus jenjang smp kelas 7 8 serta 9 semester 1 dan 2 yang disusun sesuai . Dengan format rpp 1 lembar . Rencana pelaksanaan pembelajaran bahasa inggris satu lembar kelas vii smp/mts semester 1 merupakan administrasi pembelajaran jenjang smp .

Rencana pelaksanaan pembelajaran bahasa inggris satu lembar kelas vii smp/mts semester 1 merupakan administrasi pembelajaran jenjang smp . Pin di Belajar Anak
Pin di Belajar Anak from i.pinimg.com
Sesuai surat edaran mendikbud no 14, . Jadi jika ingin membuka serta melakukan pengeditan, . Rencana pelaksanaan pembelajaran bahasa inggris satu lembar kelas vii smp/mts semester 1 merupakan administrasi pembelajaran jenjang smp . Rpp bahasa inggris kelas 7 k13 revisi 2020, rpp 1 lembar bahasa inggris smp. Berikut kami suguhkan rpp 1 lembar bahasa inggris khusus smp/mts kelas 7/vii semester 1 dan 2 tahun 2020/2021. Bahasa inggris smp kelas 7, contoh rpp terbaru 1 lembar bahasa inggris, . Maka contoh terbaru dokumen ini dapat digunakan sebagai rujukan ketika menyusun konsep materi pelajaran tatap muka maupun daring. Pada kesempatan kali ini kami akan membahas beberapa contoh rpp mapel bahasa inggris untuk tingkat smp.

Berikut komponen contoh rpp satu lembar untuk smp/mts semester ii terbaru 2021 sesuai surat no 14 tahun 2020 akan kami bagikan.

Rencana pelaksanaan pembelajaran bahasa inggris satu lembar kelas vii smp/mts semester 1 merupakan administrasi pembelajaran jenjang smp . Berikut kami suguhkan rpp 1 lembar bahasa inggris khusus smp/mts kelas 7/vii semester 1 dan 2 tahun 2020/2021. Sesuai judul posting smpht.id akan berbagi rpp satu lembar/halaman kurikulum 2013 khusus jenjang smp kelas 7 8 serta 9 semester 1 dan 2 yang disusun sesuai . Setiap contoh format rpp kurikulum 2013 (k13) smp berikut tersimpan menggunakan file.doc (dokumen). Dengan format rpp 1 lembar . Maka contoh terbaru dokumen ini dapat digunakan sebagai rujukan ketika menyusun konsep materi pelajaran tatap muka maupun daring. Pada kesempatan kali ini kami akan membahas beberapa contoh rpp mapel bahasa inggris untuk tingkat smp. Jadi jika ingin membuka serta melakukan pengeditan, . Berikut komponen contoh rpp satu lembar untuk smp/mts semester ii terbaru 2021 sesuai surat no 14 tahun 2020 akan kami bagikan. Rpp bahasa inggris kelas 7 k13 revisi 2020, rpp 1 lembar bahasa inggris smp. Sesuai surat edaran mendikbud no 14, . Bahasa inggris smp kelas 7, contoh rpp terbaru 1 lembar bahasa inggris, .

Sesuai judul posting smpht.id akan berbagi rpp satu lembar/halaman kurikulum 2013 khusus jenjang smp kelas 7 8 serta 9 semester 1 dan 2 yang disusun sesuai . Dengan format rpp 1 lembar . Sesuai surat edaran mendikbud no 14, . Rencana pelaksanaan pembelajaran bahasa inggris satu lembar kelas vii smp/mts semester 1 merupakan administrasi pembelajaran jenjang smp . Setiap contoh format rpp kurikulum 2013 (k13) smp berikut tersimpan menggunakan file.doc (dokumen).

Pada kesempatan kali ini kami akan membahas beberapa contoh rpp mapel bahasa inggris untuk tingkat smp. Pin di Belajar Anak
Pin di Belajar Anak from i.pinimg.com
Rpp bahasa inggris kelas 7 k13 revisi 2020, rpp 1 lembar bahasa inggris smp. Berikut kami suguhkan rpp 1 lembar bahasa inggris khusus smp/mts kelas 7/vii semester 1 dan 2 tahun 2020/2021. Setiap contoh format rpp kurikulum 2013 (k13) smp berikut tersimpan menggunakan file.doc (dokumen). Berikut komponen contoh rpp satu lembar untuk smp/mts semester ii terbaru 2021 sesuai surat no 14 tahun 2020 akan kami bagikan. Bahasa inggris smp kelas 7, contoh rpp terbaru 1 lembar bahasa inggris, . Dengan format rpp 1 lembar . Sesuai judul posting smpht.id akan berbagi rpp satu lembar/halaman kurikulum 2013 khusus jenjang smp kelas 7 8 serta 9 semester 1 dan 2 yang disusun sesuai . Rencana pelaksanaan pembelajaran bahasa inggris satu lembar kelas vii smp/mts semester 1 merupakan administrasi pembelajaran jenjang smp .

Sesuai surat edaran mendikbud no 14, .

Bahasa inggris smp kelas 7, contoh rpp terbaru 1 lembar bahasa inggris, . Berikut kami suguhkan rpp 1 lembar bahasa inggris khusus smp/mts kelas 7/vii semester 1 dan 2 tahun 2020/2021. Berikut komponen contoh rpp satu lembar untuk smp/mts semester ii terbaru 2021 sesuai surat no 14 tahun 2020 akan kami bagikan. Sesuai judul posting smpht.id akan berbagi rpp satu lembar/halaman kurikulum 2013 khusus jenjang smp kelas 7 8 serta 9 semester 1 dan 2 yang disusun sesuai . Sesuai surat edaran mendikbud no 14, . Rencana pelaksanaan pembelajaran bahasa inggris satu lembar kelas vii smp/mts semester 1 merupakan administrasi pembelajaran jenjang smp . Dengan format rpp 1 lembar . Pada kesempatan kali ini kami akan membahas beberapa contoh rpp mapel bahasa inggris untuk tingkat smp. Setiap contoh format rpp kurikulum 2013 (k13) smp berikut tersimpan menggunakan file.doc (dokumen). Maka contoh terbaru dokumen ini dapat digunakan sebagai rujukan ketika menyusun konsep materi pelajaran tatap muka maupun daring. Rpp bahasa inggris kelas 7 k13 revisi 2020, rpp 1 lembar bahasa inggris smp. Jadi jika ingin membuka serta melakukan pengeditan, .

Rencana pelaksanaan pembelajaran bahasa inggris satu lembar kelas vii smp/mts semester 1 merupakan administrasi pembelajaran jenjang smp . Pada kesempatan kali ini kami akan membahas beberapa contoh rpp mapel bahasa inggris untuk tingkat smp. Sesuai surat edaran mendikbud no 14, . Maka contoh terbaru dokumen ini dapat digunakan sebagai rujukan ketika menyusun konsep materi pelajaran tatap muka maupun daring. Bahasa inggris smp kelas 7, contoh rpp terbaru 1 lembar bahasa inggris, .

Bahasa inggris smp kelas 7, contoh rpp terbaru 1 lembar bahasa inggris, . Contoh Format LK 3 dan LK 4 untuk Laporan Peserta PKP
Contoh Format LK 3 dan LK 4 untuk Laporan Peserta PKP from 4.bp.blogspot.com
Maka contoh terbaru dokumen ini dapat digunakan sebagai rujukan ketika menyusun konsep materi pelajaran tatap muka maupun daring. Jadi jika ingin membuka serta melakukan pengeditan, . Setiap contoh format rpp kurikulum 2013 (k13) smp berikut tersimpan menggunakan file.doc (dokumen). Berikut kami suguhkan rpp 1 lembar bahasa inggris khusus smp/mts kelas 7/vii semester 1 dan 2 tahun 2020/2021. Dengan format rpp 1 lembar . Sesuai surat edaran mendikbud no 14, . Bahasa inggris smp kelas 7, contoh rpp terbaru 1 lembar bahasa inggris, . Pada kesempatan kali ini kami akan membahas beberapa contoh rpp mapel bahasa inggris untuk tingkat smp.

Sesuai surat edaran mendikbud no 14, .

Jadi jika ingin membuka serta melakukan pengeditan, . Berikut kami suguhkan rpp 1 lembar bahasa inggris khusus smp/mts kelas 7/vii semester 1 dan 2 tahun 2020/2021. Rencana pelaksanaan pembelajaran bahasa inggris satu lembar kelas vii smp/mts semester 1 merupakan administrasi pembelajaran jenjang smp . Pada kesempatan kali ini kami akan membahas beberapa contoh rpp mapel bahasa inggris untuk tingkat smp. Rpp bahasa inggris kelas 7 k13 revisi 2020, rpp 1 lembar bahasa inggris smp. Dengan format rpp 1 lembar . Sesuai judul posting smpht.id akan berbagi rpp satu lembar/halaman kurikulum 2013 khusus jenjang smp kelas 7 8 serta 9 semester 1 dan 2 yang disusun sesuai . Sesuai surat edaran mendikbud no 14, . Setiap contoh format rpp kurikulum 2013 (k13) smp berikut tersimpan menggunakan file.doc (dokumen). Bahasa inggris smp kelas 7, contoh rpp terbaru 1 lembar bahasa inggris, . Maka contoh terbaru dokumen ini dapat digunakan sebagai rujukan ketika menyusun konsep materi pelajaran tatap muka maupun daring. Berikut komponen contoh rpp satu lembar untuk smp/mts semester ii terbaru 2021 sesuai surat no 14 tahun 2020 akan kami bagikan.

Contoh Rpp 1 Lembar Smp Bahasa Inggris / Rpp Bahasa Inggris Model Project Based Learning - Contoh / Pada kesempatan kali ini kami akan membahas beberapa contoh rpp mapel bahasa inggris untuk tingkat smp.. Rpp bahasa inggris kelas 7 k13 revisi 2020, rpp 1 lembar bahasa inggris smp. Maka contoh terbaru dokumen ini dapat digunakan sebagai rujukan ketika menyusun konsep materi pelajaran tatap muka maupun daring. Sesuai surat edaran mendikbud no 14, . Bahasa inggris smp kelas 7, contoh rpp terbaru 1 lembar bahasa inggris, . Berikut komponen contoh rpp satu lembar untuk smp/mts semester ii terbaru 2021 sesuai surat no 14 tahun 2020 akan kami bagikan.